首页  学院概况  师资队伍  本科教学  研究生教育  科研管理  国际交流  党建工作  团学工作  招生就业  社会服务  文件下载 
首页
 学院信息 
学院通知
当前位置: 首页>>学院信息>>学院通知>>正文
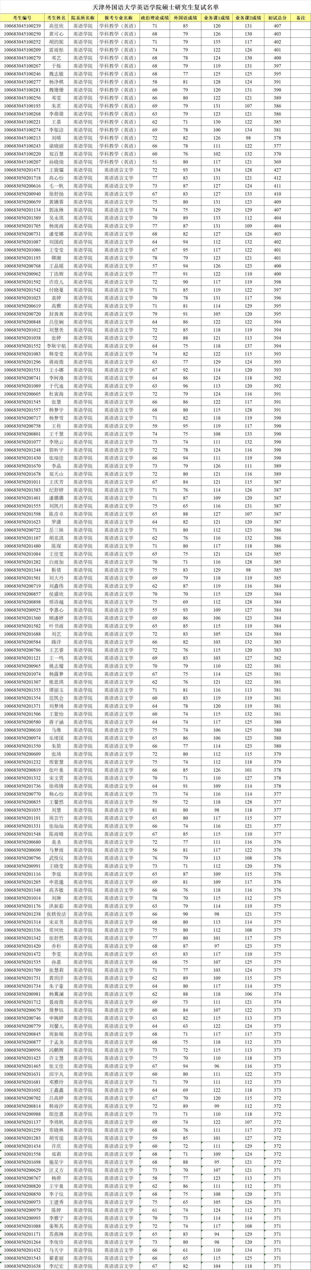
学院2023年硕士研究生复试名单
2023-03-27 20:50     (阅读次数:)


关闭窗口

版权所有: 必赢565net官网 - 必赢bwin手机版登录入口
地址:天津市河西区马场道117号   邮编:300204 
网址 www.caimiu.com   传真:022-23281796   邮箱:ses@tjfsu.edu.cn

Baidu
sogou